Ak vyriešite tento problém, môžete získať 1 milión dolárov
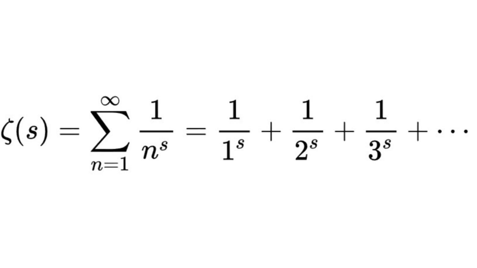
Clayov matematický inštitút v Cambridgei v štáte Massachusetts ponúkol odmenu 1 milión dolárov každému, kto vyrieši slávny matematický problém, ktorý matematikov trápi už viac ako storočie. Riemannova hypotéza, ktorú prvýkrát vyslovil nemecký matematik Bernhard Riemann v roku 1859, sa považuje za jeden z najťažších a najdôležitejších nevyriešených problémov matematiky. Hypotéza je založená na Riemannovej zeta funkcii, ktorá tvrdí, že „reálna časť každej netriviálnej nuly Riemannovej zeta funkcie je ½“.
Odpoveď na Riemannovu hypotézu je jednoduché áno alebo nie, ale existuje mnoho hypotetických spôsobov, ako sa k nej dostať, pričom všetky sú mimoriadne náročné. Keby odpoveď znela „áno“, malo by to obrovské dôsledky pre teóriu čísel, šifrovanie a štúdium prvočísel, preto sa Riemannovej hypotéze niekedy hovorí „svätý grál matematiky“. Existuje veľa dobrých dôkazov, ktoré vedú matematikov k presvedčeniu, že Riemannova hypotéza je pravdivá, ale treba to dokázať.
{{BANNER|SIMPLE_BANNER_ ...
Článok je uzamknutý
Prihlásiť pomocou členstva NEXTECH
Zobrazit Galériu
Článok je uzamknutý
Pokračovanie článku patrí k prémiovému obsahu pre predplatiteľov. S digitálnym predplatným už od 10 € získate neobmedzený prístup k uzamknutému obsahu na celý rok. Objednať si ho môžete TU. Ak ho už máte prihláste sa TU
Prihlásiť pomocou členstva NEXTECH